SOLUTION: Find the arithmetic mean Asub(n) of Asub(n+1)=9/4. A. 83/56 B. 5/4 C. 83/28 D. 7/4 Thank you in advance

Algebra ->  Sequences-and-series -> SOLUTION: Find the arithmetic mean Asub(n) of Asub(n+1)=9/4. A. 83/56 B. 5/4 C. 83/28 D. 7/4 Thank you in advance      Log On


   



Question 754678: Find the arithmetic mean Asub(n) of Asub(n+1)=9/4.
A. 83/56
B. 5/4
C. 83/28
D. 7/4
Thank you in advance

Answer by MathLover1(20850) About Me  (Show Source):
You can put this solution on YOUR website!
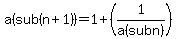
a%28sub+%28n%2B1%29%29=+1%2B+%281%2Fa%28sub+n%29%29
a%28sub+%28n%29%29=a%28sub+%28n%2B1%29%29-+1
a%28sub%28+n%29%29=9%2F4-+1
a%28sub+%28n%29%29=9%2F4-+4%2F4
a%28sub%28+n%29%29=5%2F4
so, answer is B. 5%2F4