SOLUTION: The sum of all terms of the arithmetic progression having ten terms except for the first term is 99 and except for the sixth term 89. Find the third term of the progression

Algebra ->  Sequences-and-series -> SOLUTION: The sum of all terms of the arithmetic progression having ten terms except for the first term is 99 and except for the sixth term 89. Find the third term of the progression       Log On


   



Question 743400: The sum of all terms of the arithmetic progression having ten terms except for the first term is 99 and except for the sixth term 89. Find the third term of the progression if the sum of the first term and the fifth term is equal to 10.
Found 2 solutions by KMST, mananth:
Answer by KMST(5328) About Me  (Show Source):
You can put this solution on YOUR website!
a%5B1%5D= first term
d= common difference
S= sum of all 10 terms

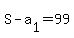
The sum of all terms of the arithmetic progression except for the first term is 99 translates into
S-a%5B1%5D=99
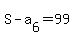
The sum of all terms of the arithmetic progression except for the sixth term 89 translates into
S-a%5B6%5D=99
system%28S-a%5B1%5D=99%2CS-a%5B6%5D=89%29 --> a%5B6%5D-a%5B1%5D=99-89 --> a%5B6%5D-a%5B1%5D=10

The nth term in an arithmetic progression is given by the formula
a%5Bn%5D=a%5B1%5D%2B%28n-1%29%2Ad so
a%5B6%5D=a%5B1%5D%2B5d --> a%5B6%5D-a%5B1%5D=5d

system%28a%5B6%5D-a%5B1%5D=10%2Ca%5B6%5D-a%5B1%5D=5d%29 --> 5d=10 --> d=2

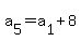
We are told that the sum of the first term and the fifth term is equal to 10.
The fifth term is
a%5B5%5D=a%5B1%5D%2B%285-1%29%2A2 --> a%5B5%5D=a%5B1%5D%2B8
The sum of the first term and the fifth term is
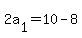
a%5B1%5D%2B%28a%5B1%5D%2B8%29=10 --> 2a%5B1%5D%2B8=10 --> 2a%5B1%5D=10-8 --> 2a%5B1%5D=2 --> a%5B1%5D=1

Knowing that the first term is a%5B1%5D=1 and the common difference is d=2 we can calculate the third term as
a%5B3%5D=1%2B%283-1%29%2A2 --> a%5B3%5D=1%2B2%2A2 --> a%5B3%5D=1%2B4 --> highlight%28a%5B3%5D=5%29

Answer by mananth(16946) About Me  (Show Source):
You can put this solution on YOUR website!
The sum of all terms of the arithmetic progression having ten terms except for the first term is 99 and except for the sixth term 89. Find the third term of the progression if the sum of the first term and the fifth term is equal to 10.

Sn = n/2[2a+(n-1)d]
S10 = 5[2a+(9)d]
S1= 1/2{2a]=>a
5[2a+9d]-a=99
5[2a+9d]-a=99
9a+45d=99
/9
a+5d=11....................(1)

t6=a+5d..........................(2)
5[2a+9d]-11=89
10a+45d=100...............................(3)

solve (1) & (3)
a=1, d=2
t3=1+4
t3=5