Question 732891: The first tem of a geometric progression is 7, its last term is 448 and its sum is 889. Find the common ratio
Answer by KMST(5328) (Show Source):
You can put this solution on YOUR website! THE LUCKY GUESS APPROACH:
If we call the number of terms , and the common ratio , the last term is
--> --> -->

If we are lucky and --> .
Those numbers would certainly agree with the first term being 7 and the last term being 448.
Would the sum of those 7 terms be 889?
We can figure out the sum using some formula from the book, or we can calculate terms number 2, 3, 4, 5, and 6 and then add all 7 terms.
Either way, we would find out that the sum of the first 7 terms of a geometric progression with ratio 2 and first term 7 is indeed 889.
The approach worked because the problem was design to have nice small numbers as answers for and .
ANOTHER APPROACH:
The sum of terms, from to is 
The sum of the first terms, from to is
+ ... +
If we call the common ratio ,
+... + + ... +
because , , and so on until , and
--> --> --> 
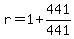
Since we know , , and we can calculate
--> --> -->
|
|
|