SOLUTION: Guess a simple formula for the sequence that begins: −1, 1/2,−1/3, 1/4,−1/5.
Algebra
->
Sequences-and-series
-> SOLUTION: Guess a simple formula for the sequence that begins: −1, 1/2,−1/3, 1/4,−1/5.
Log On
Algebra: Sequences of numbers, series and how to sum them
Section
Solvers
Solvers
Lessons
Lessons
Answers archive
Answers
Click here to see ALL problems on Sequences-and-series
Question 696893
:
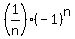
Guess a simple formula for the sequence that begins: −1, 1/2,−1/3, 1/4,−1/5.
Answer by
MathLover1(20850)
(
Show Source
):
You can
put this solution on YOUR website!
, for
=
,
,
...........