SOLUTION: check the formula ∑[n=0,k,n^2]=k(k+1)(2k+1)/(6) is corrrect for k = 1,2 and 3 ( Fact: the formula works for all positive integers k)

Algebra ->  Sequences-and-series -> SOLUTION: check the formula ∑[n=0,k,n^2]=k(k+1)(2k+1)/(6) is corrrect for k = 1,2 and 3 ( Fact: the formula works for all positive integers k)      Log On


   



Question 696783: check the formula
∑[n=0,k,n^2]=k(k+1)(2k+1)/(6)

is corrrect for k = 1,2 and 3
( Fact: the formula works for all positive integers k)

Answer by MathLover1(20850) About Me  (Show Source):
You can put this solution on YOUR website!
sum%28n%5E2%2C+n=0%2C+k%29=+k%28k%2B1%29%282k%2B1%29%2F6

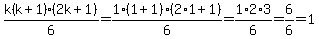
For k=1:
sum%28n%5E2%2C+n=0%2C+k%29=sum%28n%5E2%2C+n=0%2C+1%29=+0%5E2%2B1%5E2=0%2B1=1
k%28k%2B1%29%282k%2B1%29%2F6=1%2A%281%2B1%29%2A%282%2A1%2B1%29%2F6=1%2A2%2A3%2F6=6%2F6=1
So the formula is valid for k=1.

For k=2:
sum%28n%5E2%2C+n=0%2C+k%29=+sum%28n%5E2%2C+n=0%2C+2%29=+0%5E2%2B1%5E2%2B2%5E2=0%2B1%2B4=5
k%28k%2B1%29%282k%2B1%29%2F6=2%2A%282%2B1%29%2A%282%2A2%2B1%29%2F6=2%2A3%2A5%2F6=30%2F6=5
So the formula is valid for k=2.

For k=3:

k%28k%2B1%29%282k%2B1%29%2F6=3%2A%283%2B1%29%2A%282%2A3%2B1%29%2F6=3%2A4%2A7%2F6=84%2F6=14
So the formula is valid for k=3.

BIG SUM COMPUTATION (step by step):

(Changing the order and grouping in the sum, just like you do when you add polynomials and "collect like terms").

(taking out common factors as the next step)

(applying the formula given and easy to calculate values for the second and third sums).
Now we finish the indicated calculations:


KNOWN SUMS:
You know that sum%281%2C+m=0%2C+5%29=1%2B1%2B1%2B1%2B1%2B1=6 because it is a sum of six terms (m=0 to m=5) and all the terms are 1.
The calculation of sum%28m%2C+m=0%2C+5%29=0%2B1%2B2%2B3%2B4%2B5 is also easy.
You know that is an arithmetic series.
You can calculate it by adding the terms I already listed above.
sum%28m%2C+m=0%2C+5%29=0%2B1%2B2%2B3%2B4%2B5=15
Otherwise you can apply the formula for sum of an arithmetic sequence
sum%28a%5Bm%5D%2C+m=0%2C+k%29=%28a%5B0%5D%2Ba%5Bk%5D%29%2A%28k%2B1%29%2F2 and get sum%28a%5Bm%5D%2C+m=0%2C+5%29=%280%2B5%29%2A%285%2B1%29%2F2=5%2A6%2F2=15