SOLUTION: what is the rule for this arithmetic sequence 56,42,28,14 using additon or multiplication?

Algebra ->  Sequences-and-series -> SOLUTION: what is the rule for this arithmetic sequence 56,42,28,14 using additon or multiplication?      Log On


   



Question 695269: what is the rule for this arithmetic sequence 56,42,28,14 using additon or multiplication?
Found 2 solutions by solver91311, reviewermath:
Answer by solver91311(24713) About Me  (Show Source):
You can put this solution on YOUR website!




where is the set of positive integers.

John

Egw to Beta kai to Sigma
My calculator said it, I believe it, that settles it
The Out Campaign: Scarlet Letter of Atheism


Answer by reviewermath(1029) About Me  (Show Source):
You can put this solution on YOUR website!
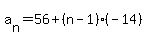
The common difference is d = -14.
a%5Bn%5D+=+a%5B1%5D+%2B+%28n-1%29d
a%5Bn%5D+=+56+%2B+%28n+-+1%29%28-14%29
highlight%28a%5Bn%5D+=+-14n+%2B+70%29