Question 694516: what is the nth term of 1/2, 2/3, 3/4, 4/5
can you please tell me how to find it? not only the answer
Answer by josmiceli(19441) (Show Source):
You can put this solution on YOUR website! The 1st term is , so when
( 1st term ) , then you have
when the term is 
when the term is 
when the term is 
when the term is 
-----------------------------------
So you can see that whatever you choose for ,
the nth term will be 
--------------------------------
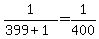
Suppose I say , then the 399th term
will be 
--------------------------------
Suppose the problem had been to find the nth term
of 1/2, 1/4, 1/6, 1/8, etc
The 1st term is also , but the
2nd term is , and the
3rd term is , etc
So, it keeps changing, and I still can't answer what
the nth term will be.
------------------
What if I say that the nth term is
when , the term is
when , the term is 
when , the term is 
etc. ,so I can say that the nth term of 1/2, 1/4, 1/6, 1/8, etc
is 
-----------------
It's a little tricky coming up with the expression that
is general for all the terms, but this is the idea.
Hope it helps
|
|
|