SOLUTION: how to solve the equation 3r + 5 divided by 2 + 2= 12 - 2r and find the value of r. I have four answer choices 2 1/7, 3 2/3, 15, and 10. I tried to replace r with these answers but

Algebra ->  Sequences-and-series -> SOLUTION: how to solve the equation 3r + 5 divided by 2 + 2= 12 - 2r and find the value of r. I have four answer choices 2 1/7, 3 2/3, 15, and 10. I tried to replace r with these answers but      Log On


   



Question 665392: how to solve the equation 3r + 5 divided by 2 + 2= 12 - 2r and find the value of r. I have four answer choices 2 1/7, 3 2/3, 15, and 10. I tried to replace r with these answers but they all of them don't seem to match in the end. Thanks for all the help!
Answer by MathLover1(20850) About Me  (Show Source):
You can put this solution on YOUR website!
%283r+%2B+5%29%2F2+%2B+2=+12+-+2r
2%283r+%2B+5%29%2F2+%2B+2%2A2r=+2%2A12+-+2%2A2

3r+%2B+5+%2B+4r=+24+-+4
3r%2B4r=+24+-+4-5
3r+%2B+4r=+24+-+9
7r=+15
r=+15%2F7
highlight%28r=+2%281%2F7%29%29...the answer

check solution highlight%28r=+2%281%2F7%29%29:
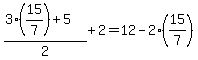
%283%2A2%281%2F7%29+%2B+5%29%2F2+%2B+2=+12+-+2%2A2%281%2F7%29
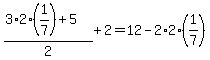
%283%2A%2815%2F7%29+%2B+5%29%2F2+%2B+2=+12+-+2%2A%2815%2F7%29
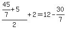
%2845%2F7+%2B+5%29%2F2+%2B+2=+12+-+30%2F7
%286.428+%2B+5%29%2F2+%2B+2=+12+-+4.29
5.71+%2B+2=+7.71
7.71=+7.71