SOLUTION: Find the sum of the geometric series: 1 + 1/4 + 1/16 + 1/64... I tried to do the series but the formula in the turorial was ocnfusing to me. Thanks for any help!

Algebra ->  Sequences-and-series -> SOLUTION: Find the sum of the geometric series: 1 + 1/4 + 1/16 + 1/64... I tried to do the series but the formula in the turorial was ocnfusing to me. Thanks for any help!      Log On


   



Question 65199: Find the sum of the geometric series: 1 + 1/4 + 1/16 + 1/64...
I tried to do the series but the formula in the turorial was ocnfusing to me. Thanks for any help!

Answer by joyofmath(189) About Me  (Show Source):
You can put this solution on YOUR website!
Let S be the sum of the series.
Then, S+=+1+%2B+1%2F4+%2B+1%2F16+%2B+1%2F64+%2B+....
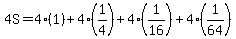
Multiply each term of the series by 4.
Then, 4S+=+4%281%29%2B+4%281%2F4%29+%2B+4%281%2F16%29+%2B+4%281%2F64%29+....
Or, 4S+=+4+%2B+1+%2B+1%2F4+%2B+1%2F16+%2B+....
Subtract S from 4S.
Then, 3S+=+4.
So, S+=+4%2F3+=+1%2B1%2F3.