SOLUTION: explain why 400% od 5 and 4% of 599 are the same amount
Algebra
->
Sequences-and-series
-> SOLUTION: explain why 400% od 5 and 4% of 599 are the same amount
Log On
Algebra: Sequences of numbers, series and how to sum them
Section
Solvers
Solvers
Lessons
Lessons
Answers archive
Answers
Click here to see ALL problems on Sequences-and-series
Question 641799
:
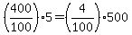
explain why 400% od 5 and 4% of 599 are the same amount
Answer by
MathLover1(20850)
(
Show Source
):
You can
put this solution on YOUR website!
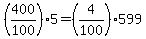
% you can write as
and
....not equal
I guess your question should be: why 400% od 5 and 4% of 500 are the same amount
....equal
so, why?...because 4:0.04=500:5...inverses