SOLUTION: write sigma notation for the sequence 4-9+16-25+...+(-1)^n(n)^2
Algebra
->
Sequences-and-series
-> SOLUTION: write sigma notation for the sequence 4-9+16-25+...+(-1)^n(n)^2
Log On
Algebra: Sequences of numbers, series and how to sum them
Section
Solvers
Solvers
Lessons
Lessons
Answers archive
Answers
Click here to see ALL problems on Sequences-and-series
Question 634268
:
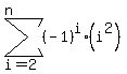
write sigma notation for the sequence
4-9+16-25+...+(-1)^n(n)^2
Answer by
reviewermath(1029)
(
Show Source
):
You can
put this solution on YOUR website!