SOLUTION: What is the common difference of a 43-term arithmetic sequence where the first term is -13 and the sum is 9,374? What is the sum of a 12-term arithmetic sequence where the last

Algebra ->  Sequences-and-series -> SOLUTION: What is the common difference of a 43-term arithmetic sequence where the first term is -13 and the sum is 9,374? What is the sum of a 12-term arithmetic sequence where the last       Log On


   



Question 629829: What is the common difference of a 43-term arithmetic sequence where the first term is -13 and the sum is 9,374?
What is the sum of a 12-term arithmetic sequence where the last term is 13 and the common difference is -10?
Provide an example of an arithmetic series which totals zero. Using complete sentences, explain how you created the example


Answer by reviewermath(1029) About Me  (Show Source):
You can put this solution on YOUR website!
What is the common difference of a 43-term arithmetic sequence where the first term is -13 and the sum is 9,374?
S%5Bn%5D+=+%28n%2F2%29%28a%5B1%5D+%2B+a%5Bn%5D%29
S%5B43%5D+=+%2843%2F2%29%28a%5B1%5D+%2B+a%5B43%5D%29
9374+=+%2843%2F2%29%28-13+%2B+a%5B43%5D%29
436+=+-13+%2B+a%5B43%5D
a%5B43%5D+=+449
a%5Bn%5D+=+a%5B1%5D+%2B+%28n-1%29d
a%5B43%5D+=+-13+%2B+%2843-1%29d
449+=+-13+%2B+42d
highlight%28d+=+11%29
The common difference is 11
What is the sum of a 12-term arithmetic sequence where the last term is 13 and the common difference is -10?
a%5Bn%5D+=+a%5B1%5D+%2B+%28n-1%29d
a%5B12%5D+=+a%5B1%5D+%2B+%2812-1%29%28-10%29
13+=+a%5B1%5D+-+110
a%5B1%5D+=+123
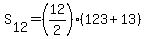
S%5Bn%5D+=+%28n%2F2%29%28a%5B1%5D+%2B+a%5Bn%5D%29
S%5B12%5D+=+%2812%2F2%29%28123+%2B+13%29
s%5B12%5D+=+highlight%28816%29
Provide an example of an arithmetic series which totals zero. Using complete sentences, explain how you created the example
highlight%28%28-8%29+%2B+%28-6%29+%2B+%28-4%29+%2B+%28-2%29+%2B+0+%2B+2+%2B+4+%2B+6+%2B+8%29 is an example of an arithmetic series which totals zero.
The term of the arithmetic sequence should include zero and multiples of a common difference. The first and last term should be numerically equal but opposite in sign.