SOLUTION: if 5x-3, x+2 and 3x-11 form an arithmetic progression, find the first term and the 21st term

Algebra ->  Sequences-and-series -> SOLUTION: if 5x-3, x+2 and 3x-11 form an arithmetic progression, find the first term and the 21st term      Log On


   



Question 618996: if 5x-3, x+2 and 3x-11 form an arithmetic progression, find the first term and the 21st term
Answer by ewatrrr(24785) About Me  (Show Source):
You can put this solution on YOUR website!
 
Hi,
5x-3, x+2 and 3x-11 form an arithmetic progression..
a%5B1%5D+=+5x-3
a%5B2%5D+=+%285x-3%29+%2B+d+=+x%2B2+ d = -4x + 5
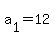
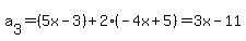
a%5B3%5D+=+%285x-3%29+%2B+2%28-4x%2B5%29+=+3x-11+ -6x = -18 , x = 3, a%5B1%5D+=+12 and d = -7
a%5B21%5D+=++12+%2B+20%28-7%29+=+-128