SOLUTION: Please help me with problem, thanks: 7+(-21)+63+(-189)+... a) n=18 b) S_n=3829

Algebra ->  Sequences-and-series -> SOLUTION: Please help me with problem, thanks: 7+(-21)+63+(-189)+... a) n=18 b) S_n=3829      Log On


   



Question 607821: Please help me with problem, thanks:
7+(-21)+63+(-189)+...
a) n=18
b) S_n=3829

Answer by ewatrrr(24785) About Me  (Show Source):
You can put this solution on YOUR website!
 
Hi
Geomtric sequence: a%5Bn%5D+=+a%5B1%5D%2Ar%5E%28n-1%29
{7+(-21)+63+(-189)+...}
Note the Change of sign:
a%5Bn%5D+=+7%2A%28-3%29%5E%28n-1%29
a%5B18%5D+=+7%2A%28-3%29%5E%2817%29=+highlight%28903981141%29

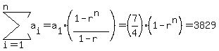
7/4(1-r^n) = 3829
(1-(-)3^n) = (4/7)3829 = 2188
3^n = 2187
n = 7