SOLUTION: consider the sequence 2,5,26,677,...determine the recursive formula
Algebra
->
Sequences-and-series
-> SOLUTION: consider the sequence 2,5,26,677,...determine the recursive formula
Log On
Algebra: Sequences of numbers, series and how to sum them
Section
Solvers
Solvers
Lessons
Lessons
Answers archive
Answers
Click here to see ALL problems on Sequences-and-series
Question 583554
:
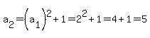
consider the sequence 2,5,26,677,...determine the recursive formula
Answer by
KMST(5328)
(
Show Source
):
You can
put this solution on YOUR website!