SOLUTION: I am having a hard time figuring out this problem. Use the geometric sequence of numbers 1, 1/2, 1/4, 1/8,…to find the following: a) What is r, the ratio between 2 consecutive

Algebra ->  Sequences-and-series -> SOLUTION: I am having a hard time figuring out this problem. Use the geometric sequence of numbers 1, 1/2, 1/4, 1/8,…to find the following: a) What is r, the ratio between 2 consecutive      Log On


   



Question 53621: I am having a hard time figuring out this problem.
Use the geometric sequence of numbers 1, 1/2, 1/4, 1/8,…to find the following:
a) What is r, the ratio between 2 consecutive terms?
b) Using the formula for the sum of the first n terms of a geometric series, what is the sum of the first 10 terms? Please round your answer to 4 decimals.
c) Using the formula for the sum of the first n terms of a geometric series, what is the sum of the first 12 terms? Please round your answer to 4 decimals.
Thanks for your help!

Found 2 solutions by stanbon, funmath:
Answer by stanbon(75887) About Me  (Show Source):
You can put this solution on YOUR website!
Use the geometric sequence of numbers 1, 1/2, 1/4, 1/8,…to find the following:
a) What is r, the ratio between 2 consecutive terms?
r=(1/2)/1= 1/2
---------------
b) Using the formula for the sum of the first n terms of a geometric series, what is the sum of the first 10 terms? Please round your answer to 4 decimals.
S(n)=a[(r^(n+1)-1)/(r-1)]
S(10)=1[(1/2)^11 -1)/((1/2)-1]
S(10)=(1/2048 - 1)/(-1/2)
S(10)=1.9990
----------------
c) Using the formula for the sum of the first n terms of a geometric series, what is the sum of the first 12 terms? Please round your answer to 4 decimals.
Same procedure as part "b" but use n=12
Answer should be 1.9999
------------------
Cheers,
Stan H.

Answer by funmath(2933) About Me  (Show Source):
You can put this solution on YOUR website!
Geometric Sequence: {1,1/2,1/4,1/8...}
a)r=a(sub n+1)/a(sub n) in some books r=a(sub n)/a(sub n-1). It's the same thing, divide the 2nd term by the 1st, the 3rd by the 2nd, ect.
r=(1/2)/(1)=1/2
---
r=(1/4)/(1/2)
r=(1/4)*(2/1)
r=2/4=1/2
---
r=(1/8)/(1/4)
r=(1/8)*(4/1)
r=4/8=1/2
---
Notice that in geometric sequences, you will get the same ratio with any two consecutive terms, in this case:r=1/2.
-------------------------------------------------------------------------------
b)The sum of the first n terms is:
S%28sub+n%29=a%28sub+1%29%2A%281-r%5En%29%2F%281-r%29
In this case you want the sum of the first 10 terms.
n=10
r=1/2
The first term, a(sub 1)=1
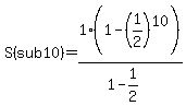
S%28sub+10%29=1%2A%281-%281%2F2%29%5E10%29%2F%281-1%2F2%29
S%28sub+10%29=%281-1%2F1024%29%2F%281-1%2F2%29
S%28sub+10%29=%281024%2F1024-1%2F1024%29%2F%282%2F2-1%2F2%29
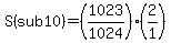
S%28sub+10%29=%281023%2F1024%29%2F%281%2F2%29
S%28sub+10%29=%281023%2F1024%29%2A%282%2F1%29
S%28sub+10%29=1023%2F512
S(sub 10)=1.9980
-------------------------------------------------------------------------------
c) This time
n=12
r=1/2
a(sub 1)=1
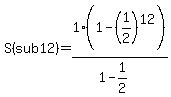
S%28sub+n%29=a%28sub+1%29%2A%281-r%5En%29%2F%281-r%29
S%28sub+12%29=1%2A%281-%281%2F2%29%5E12%29%2F%281-1%2F2%29
S%28sub+12%29=%281-1%2F4096%29%2F%281-1%2F2%29
S%28sub+12%29=%284096%2F4096-1%2F4096%29%2F%282%2F2-1%2F2%29
S%28sub+12%29=%284095%2F4096%29%2F%281%2F2%29
S%28sub+12%29=%284095%2F4096%29%2A%282%2F1%29
S%28sub+12%29=4095%2F2048
S(sub 12)=1.9995
Happy Calculating!