SOLUTION: Use the formula for the sum of the first n terms of a geometric sequence. find the sum of each infinite geometric series. 5+5/6+5/6^2+5/6^3+....

Algebra ->  Sequences-and-series -> SOLUTION: Use the formula for the sum of the first n terms of a geometric sequence. find the sum of each infinite geometric series. 5+5/6+5/6^2+5/6^3+....      Log On


   



Question 481816: Use the formula for the sum of the first n terms of a geometric sequence.
find the sum of each infinite geometric series. 5+5/6+5/6^2+5/6^3+....

Answer by ewatrrr(24785) About Me  (Show Source):
You can put this solution on YOUR website!
 
Hi,
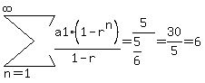
geometric sequence: a%5B1%5D = 5 and r = 1/6 Note: |r|<1
sum%28a1%2A%281-r%5En%29%2F%281-r%29+%2C+n=1%2C+infinity+%29+=+5%2F%285%2F6%29+=+30%2F5+=+6