SOLUTION: Use the formula for the sum of the first n terms of a geometric sequence to solve. Find the sum of the first 11 terms of the geometric sequence 4,-12,36,-108....

Algebra ->  Sequences-and-series -> SOLUTION: Use the formula for the sum of the first n terms of a geometric sequence to solve. Find the sum of the first 11 terms of the geometric sequence 4,-12,36,-108....      Log On


   



Question 481815: Use the formula for the sum of the first n terms of a geometric sequence to solve.
Find the sum of the first 11 terms of the geometric sequence 4,-12,36,-108....

Answer by ewatrrr(24785) About Me  (Show Source):
You can put this solution on YOUR website!
 
Hi,
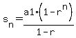
geometric sequence: {4,-12,36,-108,...} r = -3
a%5Bn%5D=a%5B1%5Dr%5E%28n-1%29
s%5Bn%5D=a1%2A%281-r%5En%29%2F%281-r%29
s%5B11%5D=4%2A%281-%28-3%29%5E11%29%2F%284%29=+highlight%28177148%29