SOLUTION: what is y=1/2(8x-1^2)-3/2
Algebra
->
Sequences-and-series
-> SOLUTION: what is y=1/2(8x-1^2)-3/2
Log On
Algebra: Sequences of numbers, series and how to sum them
Section
Solvers
Solvers
Lessons
Lessons
Answers archive
Answers
Click here to see ALL problems on Sequences-and-series
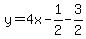
Question 421187
:
what is y=1/2(8x-1^2)-3/2
Answer by
MathLover1(20850)
(
Show Source
):
You can
put this solution on YOUR website!
....first multiply