SOLUTION: the 2nd and 6th terms are 1 and 27.find (a)the first term (b)common difference (c)10th term

Algebra ->  Sequences-and-series -> SOLUTION: the 2nd and 6th terms are 1 and 27.find (a)the first term (b)common difference (c)10th term       Log On


   



Question 420260: the 2nd and 6th terms are 1 and 27.find (a)the first term (b)common difference (c)10th term

Answer by ewatrrr(24785) About Me  (Show Source):
You can put this solution on YOUR website!

Hi
Arithmetic Series
a%5Bn%5D=a%5B1%5D%2B%28n-1%29%2Ad
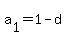
a%5B2%5D=a%5B1%5D%2B%282-1%29%2Ad+=+1 | a%5B1%5D=+1+-+d
a%5B6%5D=a%5B1%5D%2B%286-1%29%2Ad+=+27
(1-d) + 5d = 27
4d = 26
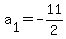
d = 26/4 = 13/2 a%5B1%5D=+-11%2F2+
CHECKING our Answer***
a%5B2%5D=+-11%2F2+%2B+13%2F2+=+1