SOLUTION: Find the nth term of the arithmetic sequence where a1 = 5000 and d = -100.
Algebra
->
Sequences-and-series
-> SOLUTION: Find the nth term of the arithmetic sequence where a1 = 5000 and d = -100.
Log On
Algebra: Sequences of numbers, series and how to sum them
Section
Solvers
Solvers
Lessons
Lessons
Answers archive
Answers
Click here to see ALL problems on Sequences-and-series
Question 414667
:
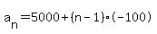
Find the nth term of the arithmetic sequence where a1 = 5000 and d = -100.
Answer by
ewatrrr(24785)
(
Show Source
):
You can
put this solution on YOUR website!
Hi
Find the nth term of the arithmetic sequence where a1 = 5000 and d = -100