SOLUTION: Write 2 - 4 + 8 - 16 + ... + 128 using sigma notation.
Algebra
->
Sequences-and-series
-> SOLUTION: Write 2 - 4 + 8 - 16 + ... + 128 using sigma notation.
Log On
Algebra: Sequences of numbers, series and how to sum them
Section
Solvers
Solvers
Lessons
Lessons
Answers archive
Answers
Click here to see ALL problems on Sequences-and-series
Question 396669
:
Write 2 - 4 + 8 - 16 + ... + 128 using sigma notation.
Found 2 solutions by
ewatrrr, CharlesG2
:
Answer by
ewatrrr(24785)
(
Show Source
):
You can
put this solution on YOUR website!
Hi
Answer by
CharlesG2(834)
(
Show Source
):
You can
put this solution on YOUR website!
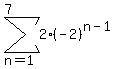
Write 2 - 4 + 8 - 16 + ... + 128 using sigma notation.
n = 1 --> -1^(2) = 1, 2^1 = 2, 1 * 2 = 2
n = 2 --> -1^(3) = -1, 2^2 = 4, -1 * 4 = -4
n = 3 --> -1^(4) = 1, 2^3 = 8, 1 * 8 = 8
...
n = 7 --> -1^(8) = 1, 2^7 = 128, 1 * 128 = 128