SOLUTION: Use mathematical induction to prove that 1^3+2^3+3^3+....+n^3=(1+2+3+....+n)^2 Please I need your assistance

Algebra ->  Sequences-and-series -> SOLUTION: Use mathematical induction to prove that 1^3+2^3+3^3+....+n^3=(1+2+3+....+n)^2 Please I need your assistance      Log On


   



Question 393642: Use mathematical induction to prove that
1^3+2^3+3^3+....+n^3=(1+2+3+....+n)^2
Please I need your assistance

Answer by richard1234(7193) About Me  (Show Source):
You can put this solution on YOUR website!
The base case 1%5E3+=+1%5E2 satisfies. Now, suppose that

sum%28i%5E3%2C+i+=+1%2C+n%29+=+%28sum%28i%2C+i+=+1%2C+n%29%29%5E2 for arbitrary n. We wish to prove that this implies the n%2B1 case will be true, or that

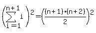
sum%28i%5E3%2C+i+=+1%2C+n%2B1%29+=+%28sum%28i%2C+i+=+1%2C+n%2B1%29%29%5E2

We can show this is true, using the fact that and %28sum%28i%2C+i+=+1%2C+n%2B1%29%29%5E2+=+%28%28n%2B1%29%28n%2B2%29%2F2%29%5E2 Therefore this is equivalent to showing that

%28%28n%28n%2B1%29%29%2F2%29%5E2+%2B+%28n%2B1%29%5E3+=+%28%28n%2B1%29%28n%2B2%29%2F2%29%5E2

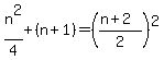
Divide both sides by %28n%2B1%29%5E2

n%5E2%2F4+%2B+%28n%2B1%29+=+%28%28n%2B2%29%2F2%29%5E2

%28n%5E2+%2B+4n+%2B+4%29%2F4+=+%28n%5E2+%2B+4n+%2B+4%29%2F4

This holds for all n, so the statement holds for n+1. The induction is complete, so sum%28i%5E3%2C+i+=+1%2C+n%29+=+%28sum%28i%2C+i+=+1%2C+n%29%29%5E2