SOLUTION: For the series 64,-32,16,-8 find: i)The tenth term ii)the sum of the first 20 terms iii)the sum to infinity Please help I have already done the first two questions with the res

Algebra ->  Sequences-and-series -> SOLUTION: For the series 64,-32,16,-8 find: i)The tenth term ii)the sum of the first 20 terms iii)the sum to infinity Please help I have already done the first two questions with the res      Log On


   



Question 393636: For the series 64,-32,16,-8 find:
i)The tenth term
ii)the sum of the first 20 terms
iii)the sum to infinity
Please help I have already done the first two questions with the results of:
i)0.0625
ii)-127.99 (rounded)
But I am stumped for the third question.

Answer by richard1234(7193) About Me  (Show Source):
You can put this solution on YOUR website!
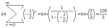
The ratio between two successive terms is -1/2 which is between -1 and 1 so the series converges.

We have the sum sum%2864%2A%28-1%2F2%29%5Er%2C+r+=+0%2C+infinity%29. Factoring 64 out, this is equivalent to

64sum%28%28-1%2F2%29%5Er%2C+r+=+0%2C+infinity%29

The sum of all the terms of a convergent geometric sequence 1 + r + r^2 + ... = 1/(1-r), so replacing r with -1/2,



Note that the words "series" and "sequence" have different meanings. {64, -32, 16, -8, ...} is a sequence. The sum of the terms in a sequence is defined as a series.