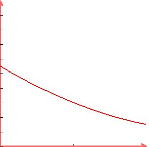
SOLUTION: consider the function f(x) = (x - 3)^2 + 2. Evaluate a sum to approximate the area under the curve for the domain o < or equal x < or equal 2 using the type of rectangles in each p

Algebra ->  Sequences-and-series -> SOLUTION: consider the function f(x) = (x - 3)^2 + 2. Evaluate a sum to approximate the area under the curve for the domain o < or equal x < or equal 2 using the type of rectangles in each p      Log On


   



Question 389732: consider the function f(x) = (x - 3)^2 + 2. Evaluate a sum to approximate the area under the curve for the domain o < or equal x < or equal 2 using the type of rectangles in each part.
a.) use inscribed rectangles 0.5 units wide
b.) Use circumscribed rectangles 0.5 units wide

Answer by richard1234(7193) About Me  (Show Source):
You can put this solution on YOUR website!
graph+%28300%2C+300%2C+0%2C+2%2C+0%2C+20%2C+x%5E2+-+6x+%2B+11%29

For part a), the base of each rectangle is 0.5, and the height is f(k), for k = {0.5, 1, 1.5, 2}. Therefore the area is about .5(f(.5) + f(1) + f(1.5) + f(2)) = 10.75.

Part b) is similar, but k = {0, 0.5, 1, 1.5} so that approximation is .5(f(0) + f(.5) + f(1) + f(1.5)) = 14.75.

The exact area is given by