SOLUTION: find the sum of the first five terms in the geometric series -3/2+1-2/3+... A. 55/54 B. -55/54 C. 55/27 D. -55/27 Thank you so much!!!! God Bless and Happy New Year!!!!

Algebra ->  Sequences-and-series -> SOLUTION: find the sum of the first five terms in the geometric series -3/2+1-2/3+... A. 55/54 B. -55/54 C. 55/27 D. -55/27 Thank you so much!!!! God Bless and Happy New Year!!!!      Log On


   



Question 389445: find the sum of the first five terms in the geometric series -3/2+1-2/3+...
A. 55/54
B. -55/54
C. 55/27
D. -55/27
Thank you so much!!!!
God Bless and Happy New Year!!!!

Answer by ewatrrr(24785) About Me  (Show Source):
You can put this solution on YOUR website!

Hi,
geometric series -3/2, 1,-2/3,+...
a%5Bn%5D+=+a%5B1%5D%2Ar%5E%28n-1%29 In this example r = -2/3
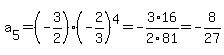
a%5B4%5D+=+%28-3%2F2%29%2A%28-2%2F3%29%5E3+=+-3%2F2%2A-8%2F27+=+4%2F9
a%5B5%5D+=+%28-3%2F2%29%2A%28-2%2F3%29%5E4+=+-3%2F2%2A16%2F81+=+-8%2F27
-3/2 + 1 + -2/3 + 4/9 - 8/27 = ( -81 + 54 - 36 + 24 - 16) /54 = -55/54