SOLUTION: 3) Use the geometric sequence of numbers 1, 1/3, 1/9 , 1/27… to find the following:
a) What is r, the ratio between 2 consecutive terms?
Answer:
Show work in this space.
Algebra ->
Sequences-and-series
-> SOLUTION: 3) Use the geometric sequence of numbers 1, 1/3, 1/9 , 1/27… to find the following:
a) What is r, the ratio between 2 consecutive terms?
Answer:
Show work in this space.
Log On
Question 38761: 3) Use the geometric sequence of numbers 1, 1/3, 1/9 , 1/27… to find the following:
a) What is r, the ratio between 2 consecutive terms?
Answer:
Show work in this space.
b) Using the formula for the sum of the first n terms of a geometric series, what is the sum of the first 10 terms? Carry all calculations to 7 significant figures.
Answer:
Show work in this space.
c) Using the formula for the sum of the first n terms of a geometric series, what is the sum of the first 12 terms? Carry all calculations to 7 significant figures.
Answer:
Show work in this space.
d) What observation can make about these sums? In particular, what number does it appear that the sum will always be smaller than?
Answer:
You can put this solution on YOUR website! 3) Use the geometric sequence of numbers 1, 1/3, 1/9 , 1/27… to find the following:
a) What is r, the ratio between 2 consecutive terms?
Answer:
Show work in this space.
To do this, you take the second number and divide that by the first number.
The ratio is (1/3).
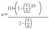
b) Using the formula for the sum of the first n terms of a geometric series, what is the sum of the first 10 terms? Carry all calculations to 7 significant figures.
Answer:
Show work in this space. about 1.499975
c) Using the formula for the sum of the first n terms of a geometric series, what is the sum of the first 12 terms? Carry all calculations to 7 significant figures.
Answer:
Show work in this space.
about 1.499997
d) What observation can make about these sums? In particular, what number does it appear that the sum will always be smaller than?
Always smaller than 1.5 it seems. The number will increase very minimal as the number of terms added increases.