SOLUTION: what is the and what is the algebraical expression for the sequence.

Algebra ->  Sequences-and-series -> SOLUTION: what is the and what is the algebraical expression for the sequence.       Log On


   



Question 376555: what is the and what is the algebraical expression for the sequence.
Answer by ewatrrr(24785) About Me  (Show Source):
You can put this solution on YOUR website!

Hi,

Finding the first two numbers of this sequence : _, _, 16, 25, 36
Note
a%5B3%5D+=+16+
a%5B4%5D+=+25+
a%5B5%5D+=+36+
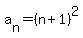
In general:
a%5Bn%5D+=+%28n%2B1%29%5E2+
a%5B1%5D+=++%281%2B1%29%5E2+=+4+
a%5B2%5D+=++%282%2B1%29%5E2+=+9+
4, 9, 16, 25, 36