SOLUTION: For the sequence below how would you solve this: write a recursive formula and fine the next three terms?
3,9,15,21
Algebra ->
Sequences-and-series
-> SOLUTION: For the sequence below how would you solve this: write a recursive formula and fine the next three terms?
3,9,15,21
Log On
Question 36923: For the sequence below how would you solve this: write a recursive formula and fine the next three terms?
3,9,15,21 Answer by Alwayscheerful(414) (Show Source):
You can put this solution on YOUR website! Well, the recursive formula depends on the previous terms and "d" (the common difference) to find the next terms.
Your pattern 3,9,15,21.
It is quite obvious the common difference (d) is 6
If it's not obvious, you can subtract from and then get your commond difference.
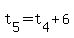
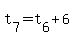
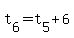
The recursive formula is
Now just plug in the numbers.