SOLUTION: Find the nth term formula for the sequence 2,-1,-4,-7....
Algebra
->
Sequences-and-series
-> SOLUTION: Find the nth term formula for the sequence 2,-1,-4,-7....
Log On
Algebra: Sequences of numbers, series and how to sum them
Section
Solvers
Solvers
Lessons
Lessons
Answers archive
Answers
Click here to see ALL problems on Sequences-and-series
Question 368722
:
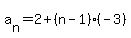
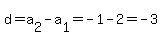
Find the nth term formula for the sequence 2,-1,-4,-7....
Answer by
Fombitz(32388)
(
Show Source
):
You can
put this solution on YOUR website!
.
.
.