SOLUTION: The sum of the first n terms of an arithmetic sequence is n(3n + 11)/2 . a) Find its 1st and 2nd terms b) Find The 20th terms of the sequence

Algebra ->  Sequences-and-series -> SOLUTION: The sum of the first n terms of an arithmetic sequence is n(3n + 11)/2 . a) Find its 1st and 2nd terms b) Find The 20th terms of the sequence      Log On


   



Question 356396: The sum of the first n terms of an arithmetic sequence is n(3n + 11)/2 .
a) Find its 1st and 2nd terms
b) Find The 20th terms of the sequence

Answer by Fombitz(32388) About Me  (Show Source):
You can put this solution on YOUR website!
S%5Bn%5D=%28n%283n+%2B+11%29%29%2F2
.
.
.
a)S%5B1%5D=%281%283%2B11%29%29%2F2=7
highlight%28a%5B1%5D=7%29
.
.
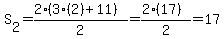
S%5B2%5D=%282%283%282%29%2B11%29%29%2F2=%282%2817%29%29%2F2=17
a%5B1%5D%2Ba%5B2%5D=17
7%2Ba%5B2%5D=17
highlight%28a%5B2%5D=10%29
.
.
.
b) a%5B2%5D-a%5B1%5D=d
d=10-7=3
.
.
a%5Bn%5D=a%5B1%5D%2B%28n-1%29%2Ad
a%5B20%5D=a%5B1%5D%2B%2820-1%29%2A%283%29
a%5B20%5D=7%2B19%2A3
a%5B20%5D=7%2B57
highlight%28a%5B20%5D=64%29