SOLUTION: The first swing of a bob on a pendulum is 10 inches.If on each subsequent swing it travels 0.9 as far as on the preceding swing,how far will the bob travel before coming to rest?

Algebra ->  Sequences-and-series -> SOLUTION: The first swing of a bob on a pendulum is 10 inches.If on each subsequent swing it travels 0.9 as far as on the preceding swing,how far will the bob travel before coming to rest?      Log On


   



Question 352061: The first swing of a bob on a pendulum is 10 inches.If on each subsequent swing it travels 0.9 as far as on the preceding swing,how far will the bob travel before coming to rest?
Answer by Fombitz(32388) About Me  (Show Source):
You can put this solution on YOUR website!
D=%28sum%2810%280.9%5En%29%2Cn=0%2Cinfinity%29%29
.
.
D=10%28sum%28%280.9%5En%29%2Cn=0%2Cinfinity%29%29
.
.
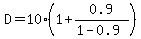
D=10%281%2Bsum%28%280.9%5En%29%2Cn=1%2Cinfinity%29%29
.
.
D=10%281%2B0.9%2F%281-0.9%29%29
.
.
D=10%281%2B0.9%2F%280.1%29%29
.
.
D=10%281%2B9%29
.
.
D=10%2810%29
.
.
highlight%28D=100%29inches