SOLUTION: sigma the top is 5 the middle is (n^2+3n) and the bottom is n=2 please help me solve
Algebra
->
Sequences-and-series
-> SOLUTION: sigma the top is 5 the middle is (n^2+3n) and the bottom is n=2 please help me solve
Log On
Algebra: Sequences of numbers, series and how to sum them
Section
Solvers
Solvers
Lessons
Lessons
Answers archive
Answers
Click here to see ALL problems on Sequences-and-series
Question 325034
:
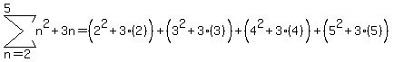
sigma the top is 5 the middle is (n^2+3n)
and the bottom is n=2 please help me solve
Answer by
Fombitz(32388)
(
Show Source
):
You can
put this solution on YOUR website!
I think you mean like this,
The summation of that term
from n=2 to n=5.
.
.
.