SOLUTION: What is the sequence of 0,3,5,9,12,7

Algebra ->  Sequences-and-series -> SOLUTION: What is the sequence of 0,3,5,9,12,7      Log On


   



Question 322462: What is the sequence of 0,3,5,9,12,7
Answer by Edwin McCravy(20056) About Me  (Show Source):
You can put this solution on YOUR website!

a%5B1%5D=0,a%5B2%5D=3,a%5B3%5D=5,a%5B4%5D=9,a%5B5%5D=12,a%5B6%5D=7

That has 6 terms, and we don't see an obvious pattern for it.
1 less than 6 is 5, so we assume a 5th degree polynomial equation 
in n for the nth term a%5Bn%5D. 

That is, we assume the 5th degree polynomial

a%5Bn%5D=An%5E5%2BBn%5E4%2BCn%5E3%2BDn%5E2%2BEn%2BF

We substitute 1,2,3,4,5, and 6 for n, making 6 equations
in 6 unknowns:



Simplifying:



Write the augmented matrix:



If you are using a TI-83 or TI-84, put that
in matrix [A], then in the 2nd MATRIX MATH
menu select rref([A]} and get



You could do that without a calculator using row
operations, but it would take you a long time and
would be tedious 

Change all those decimals to fractions:



So that matrix gives us

system%28A=1%2F60%2CB=-1%2F2%2CC=53%2F12%2CD=-16%2CE=406%2F15%2CF=-15%29

So the equation that will produce 

a%5B1%5D=0,a%5B2%5D=3,a%5B3%5D=5,a%5B4%5D=9,a%5B5%5D=12,a%5B6%5D=7

is found by substituting those values in

a%5Bn%5D=An%5E5%2BBn%5E4%2BCn%5E3%2BDn%5E2%2BEn%2BF

 

and if you like you can find as many terms as you like by substituting
n=7,8,9,10,11,12,...:

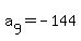
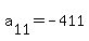
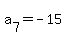
a%5B7%5D=-15,a%5B8%5D=-63,a%5B9%5D=-144,a%5B10%5D=-261,a%5B11%5D=-411,a%5B12%5D=-583, etc.

Edwin