








The sequence of upper left denominators is 2,4,6,8,···,98, and the
general term for those upper left denominators is 2n, where n goes
from 1 to 49.
Therefore the general factor of the whole product is
where n goes from 1 to 49
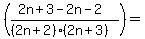
Simplifying this general factor:










, where n goes from 1 to 49.
Substituting in n=1,
Substituting in n=2,
Substituting in n=3,
···
Substituting in n=47,
Substituting in n=48,
Substituting in n=49,
So we have:
























As we see every numerator cancels with the denominator of the next factor,
except in the last, or 49th, factor where there is no next factor. And every
denominator gets canceled with the preceding numerator except the 1st factor
where there is no preceding factor. Thus the product becomes:


Edwin