SOLUTION: what is the tenth term of the geometric sequence 1/2, -1, 2, -4?

Algebra ->  Sequences-and-series -> SOLUTION: what is the tenth term of the geometric sequence 1/2, -1, 2, -4?      Log On


   



Question 305187: what is the tenth term of the geometric sequence 1/2, -1, 2, -4?
Answer by Edwin McCravy(20060) About Me  (Show Source):
You can put this solution on YOUR website!
what is the tenth term of the geometric sequence 1/2, -1, 2, -4?


a%5B1%5D=1%2F2, a%5B2%5D=-1, a%5B3%5D=2, a%5B4%5D=-4
r=a%5B2%5D%2Fa%5B1%5D=%28-1%29%2F%281%2F2%29=%28-1%29%282%2F1%29=-2
r=a%5B3%5D%2Fa%5B2%5D=%282%29%2F%28-1%29=-2
r=a%5B4%5D%2Fa%5B3%5D=%28-4%29%2F2=-2

a%5Bn%5D=a%5B1%5Dr%5E%28n-1%29
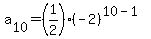
a%5B10%5D=%281%2F2%29%28-2%29%5E%2810-1%29
a%5B10%5D=%281%2F2%29%28-2%29%5E9
a%5B10%5D=%281%2F2%29%28-512%29
a%5B10%5D=-256


1/2, -1, 2, -4, 8, -16, 32, -64,  128,  -256

Edwin