SOLUTION: Find the sum of the infinte series: Σ2(3/7)^k(with the infinity sign on top of Σ, and k=1 on the bottom.)

Algebra ->  Sequences-and-series -> SOLUTION: Find the sum of the infinte series: Σ2(3/7)^k(with the infinity sign on top of Σ, and k=1 on the bottom.)      Log On


   



Question 300446: Find the sum of the infinte series: Σ2(3/7)^k(with the infinity sign on top of Σ, and k=1 on the bottom.)
Answer by Fombitz(32388) About Me  (Show Source):
You can put this solution on YOUR website!
sum%28+2%283%2F7%29%5Ek%2C+k=1%2Cinfinity+%29
.
.
.
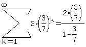
sum%28+a%28q%29%5Ek%2C+k=1%2Cinfinity+%29=aq%2F%281-q%29
In your case, q=3/7, a=2
sum%28+2%283%2F7%29%5Ek%2C+k=1%2Cinfinity+%29=2%283%2F7%29%2F%281-3%2F7%29
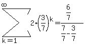
sum%28+2%283%2F7%29%5Ek%2C+k=1%2Cinfinity+%29=%286%2F7%29%2F%287%2F7-3%2F7%29
sum%28+2%283%2F7%29%5Ek%2C+k=1%2Cinfinity+%29=%286%2F7%29%2F%284%2F7%29
sum%28+2%283%2F7%29%5Ek%2C+k=1%2Cinfinity+%29=3%2F2