SOLUTION: In an arithmetic sequence, the first term is 4 and the common difference is –2. Determine the value of the 99th term.

Algebra ->  Sequences-and-series -> SOLUTION: In an arithmetic sequence, the first term is 4 and the common difference is –2. Determine the value of the 99th term.      Log On


   



Question 256812: In an arithmetic sequence, the first term is 4 and the common difference is –2.
Determine the value of the 99th term.

Found 2 solutions by Edwin McCravy, checkley77:
Answer by Edwin McCravy(20056) About Me  (Show Source):
You can put this solution on YOUR website!
In an arithmetic sequence, the first term is 4 and the common difference is –2.
Determine the value of the 99th term.


The formula for the nth term, a%5Bn%5D of an arithmetic sequence with
first term a%5B1%5D and common difference d is:

a%5Bn%5D=a%5B1%5D%2B%28n-1%29%2Ad

Substitute n=99, d=-2, a%5B1%5D=4 into that formula:

a%5B99%5D=4%2B%28%2899%29-1%29%2A%28-2%29

a%5B99%5D=4%2B%2899-1%29%2A%28-2%29

a%5B99%5D=4%2B%2898%29%2A%28-2%29

a%5B99%5D=4%2B%28-196%29

a%5B99%5D=4-196

a%5B99%5D=-192

Proof that this is correct:

Term no. 1 a%5B1%5D=4
Term no. 2 a%5B2%5D=2
Term no. 3 a%5B3%5D=0
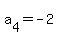
Term no. 4 a%5B4%5D=-2
Term no. 5 a%5B5%5D=-4
Term no. 6 a%5B6%5D=-6
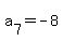
Term no. 7 a%5B7%5D=-8
Term no. 8 a%5B8%5D=-10
Term no. 9 a%5B9%5D=-12
Term no. 10 a%5B10%5D=-14
Term no. 11 a%5B11%5D=-16
Term no. 12 a%5B12%5D=-18
Term no. 13 a%5B13%5D=-20
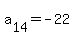
Term no. 14 a%5B14%5D=-22
Term no. 15 a%5B15%5D=-24
Term no. 16 a%5B16%5D=-26
Term no. 17 a%5B17%5D=-28
Term no. 18 a%5B18%5D=-30
Term no. 19 a%5B19%5D=-32
Term no. 20 a%5B20%5D=-34
Term no. 21 a%5B21%5D=-36
Term no. 22 a%5B22%5D=-38
Term no. 23 a%5B23%5D=-40
Term no. 24 a%5B24%5D=-42
Term no. 25 a%5B25%5D=-44
Term no. 26 a%5B26%5D=-46
Term no. 27 a%5B27%5D=-48
Term no. 28 a%5B28%5D=-50
Term no. 29 a%5B29%5D=-52
Term no. 30 a%5B30%5D=-54
Term no. 31 a%5B31%5D=-56
Term no. 32 a%5B32%5D=-58
Term no. 33 a%5B33%5D=-60
Term no. 34 a%5B34%5D=-62
Term no. 35 a%5B35%5D=-64
Term no. 36 a%5B36%5D=-66
Term no. 37 a%5B37%5D=-68
Term no. 38 a%5B38%5D=-70
Term no. 39 a%5B39%5D=-72
Term no. 40 a%5B40%5D=-74
Term no. 41 a%5B41%5D=-76
Term no. 42 a%5B42%5D=-78
Term no. 43 a%5B43%5D=-80
Term no. 44 a%5B44%5D=-82
Term no. 45 a%5B45%5D=-84
Term no. 46 a%5B46%5D=-86
Term no. 47 a%5B47%5D=-88
Term no. 48 a%5B48%5D=-90
Term no. 49 a%5B49%5D=-92
Term no. 50 a%5B50%5D=-94
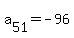
Term no. 51 a%5B51%5D=-96
Term no. 52 a%5B52%5D=-98
Term no. 53 a%5B53%5D=-100
Term no. 54 a%5B54%5D=-102
Term no. 55 a%5B55%5D=-104
Term no. 56 a%5B56%5D=-106
Term no. 57 a%5B57%5D=-108
Term no. 58 a%5B58%5D=-110
Term no. 59 a%5B59%5D=-112
Term no. 60 a%5B60%5D=-114
Term no. 61 a%5B61%5D=-116
Term no. 62 a%5B62%5D=-118
Term no. 63 a%5B63%5D=-120
Term no. 64 a%5B64%5D=-122
Term no. 65 a%5B65%5D=-124
Term no. 66 a%5B66%5D=-126
Term no. 67 a%5B67%5D=-128
Term no. 68 a%5B68%5D=-130
Term no. 69 a%5B69%5D=-132
Term no. 70 a%5B70%5D=-134
Term no. 71 a%5B71%5D=-136
Term no. 72 a%5B72%5D=-138
Term no. 73 a%5B73%5D=-140
Term no. 74 a%5B74%5D=-142
Term no. 75 a%5B75%5D=-144
Term no. 76 a%5B76%5D=-146
Term no. 77 a%5B77%5D=-148
Term no. 78 a%5B78%5D=-150
Term no. 79 a%5B79%5D=-152
Term no. 80 a%5B80%5D=-154
Term no. 81 a%5B81%5D=-156
Term no. 82 a%5B82%5D=-158
Term no. 83 a%5B83%5D=-160
Term no. 84 a%5B84%5D=-162
Term no. 85 a%5B85%5D=-164
Term no. 86 a%5B86%5D=-166
Term no. 87 a%5B87%5D=-168
Term no. 88 a%5B88%5D=-170
Term no. 89 a%5B89%5D=-172
Term no. 90 a%5B90%5D=-174
Term no. 91 a%5B91%5D=-176
Term no. 92 a%5B92%5D=-178
Term no. 93 a%5B93%5D=-180
Term no. 94 a%5B94%5D=-182
Term no. 95 a%5B95%5D=-184
Term no. 96 a%5B96%5D=-186
Term no. 97 a%5B97%5D=-188
Term no. 98 a%5B98%5D=-190
Term no. 99 a%5B99%5D=-192

Edwin




Answer by checkley77(12844) About Me  (Show Source):
You can put this solution on YOUR website!
An=A+(n-1)D
An=4+(99-1)-2
An=4+98*-2
An=4-196
An=-192 ANS. FOR THE VALUE OF THE 99 th. TERM.