SOLUTION: I have been trying to work a problem and the answer I come up with does't seem correct. The problem is as follows:
In an unusual salary arrangement for a temporary worker hired
Algebra ->
Sequences-and-series
-> SOLUTION: I have been trying to work a problem and the answer I come up with does't seem correct. The problem is as follows:
In an unusual salary arrangement for a temporary worker hired
Log On
Question 253431: I have been trying to work a problem and the answer I come up with does't seem correct. The problem is as follows:
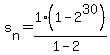
In an unusual salary arrangement for a temporary worker hired for 30 days, the pay on the first day is 1 cent, on the second day it is 2 cents, and the pay doubles each day. What is the total pay for the 30 days worked.
My answer is - $80,530,636.95 which doesn't seem right. Wondering where I am going wrong.
Lori Found 3 solutions by hokies, richwmiller, Theo:Answer by hokies(65) (Show Source):
You can put this solution on YOUR website! The answer is: pay = 2^days - 1 (in cents; test it out for yourself for the first few days)
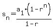
So pay = 2^30-1 = 1073741823 cents = $10737418.23
You can put this solution on YOUR website! This a classic for shock value.
It is usually done on chess board with 64 squares.
After 30 days it will be 2^29 since it is 2 on the second day
day 1 1
day 2 2^1
day 3 2^2
day 4 2^3
day 30 2^29
2^29=536 million, 870 thousand and 912 cents