SOLUTION: Tom purchased a rare stamp for $9 000. He was guaranteed that the stamp would increase in value by 15% each year based on the original value. What is the value of the stamp if Tom

Algebra ->  Sequences-and-series -> SOLUTION: Tom purchased a rare stamp for $9 000. He was guaranteed that the stamp would increase in value by 15% each year based on the original value. What is the value of the stamp if Tom       Log On


   



Question 247863: Tom purchased a rare stamp for $9 000. He was guaranteed that the stamp would increase in value by 15% each year based on the original value. What is the value of the stamp if Tom owns it for 5 years?
I have to put this into an equation...somehow. So,
know: a=9 000
r=15%
tn=5
find:n
Ok, so how do I do this?

Found 2 solutions by richwmiller, Fombitz:
Answer by richwmiller(17219) About Me  (Show Source):
You can put this solution on YOUR website!
capital*time *rate=interest
5*1.15*9000
There is nothing that indicates anything but 15% each year.
Since it says "based on the original" It is unclear whether the gain is even added yearly. or we just have simple interest over five years and nothing is adding till the fifth year is over.

This is a scam. Nothing increases 15% and with a guarantee!!
Bernie Madoff must have been the seller.


Answer by Fombitz(32388) About Me  (Show Source):
You can put this solution on YOUR website!
1st year : +V=9000%281.15%29=10350+
2nd year : +V=10350%281.15%29=9000%281.15%29%5E2=11902.50
3rd year : +V=11902.50%281.15%29=9000%281.15%29%5E3=13687.50
4th year : +V=9000%281.15%29%5E4=15741.06
5th year : +V=9000%281.15%29%5E5=18102.21
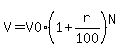
nth year : +V=V0%2A%281%2Br%2F100%29%5EN
where V is value at time N, V0 is the original value, r is the rate, N is the time period.