SOLUTION: A number n is 1 plus the sum of the squares of three consecutive odd integers. What is the largest integer factor of all such numbers n?
Algebra ->
Sequences-and-series
-> SOLUTION: A number n is 1 plus the sum of the squares of three consecutive odd integers. What is the largest integer factor of all such numbers n?
Log On
Question 227525: A number n is 1 plus the sum of the squares of three consecutive odd integers. What is the largest integer factor of all such numbers n? Answer by jsmallt9(3758) (Show Source):
You can put this solution on YOUR website! Let x = the smallest odd integer.
Since odd integers are two apart from each other (think about it), the next two consecutive odd integers would be:
x+2
x+2+2=x+4
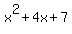
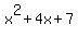
So
Simplifying this, using FOIL or the pattern on the binomials:
Adding like terms:
Now we can find the factors of n. When factoring, always start with the Greatest Common Factor (GCF). In this case the GCF is 3:
Next we try other factoring techniques on : patterns, trinomial factoring, factoring by grouping, and trial and error of the possible rational roots. However will not factor with any of these methods.
So the integer factors of n are:
3 and
1 and n, of course
Of these factors only 1 and 3 do not depend, directly or indirectly, on the value of x. And the larger of these is 3. So the largest integer factor of all such n's is 3.