We define the sequence a recursively by setting
and 
for all
.
what is the first five terms of this sequence.
We are given
.
Now we substitute
into
and get
and now we substitute
and get
-------------------
Now we substitute
into
and get
and now we substitute
and get
------------------
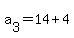
Now we substitute
into
and get
and now we substitute
and get
----------------
Now we substitute
into
and get
and now we substitute
and get
----------------
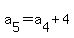
Now we substitute
into
and get
and now we substitute
and get
----------------
So the first five terms are:
,
,
,
,
.
Edwin