SOLUTION: Find the sum of the infinite series:
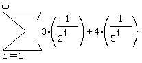
∞
∑ (3/2^i+4/5^i)
i=1
So far I know that it goes: 23/10, 9
Algebra ->
Sequences-and-series
-> SOLUTION: Find the sum of the infinite series:
∞
∑ (3/2^i+4/5^i)
i=1
So far I know that it goes: 23/10, 9
Log On
Question 204345: Find the sum of the infinite series:
∞
∑ (3/2^i+4/5^i)
i=1
So far I know that it goes: 23/10, 91/100, 407/1000, etc., in multiples of ten for the denominator, but I am confused as to what the top sequence is and if it's supposed to go to infinity, and then how would I find the sum?
Thank you in advance Answer by jim_thompson5910(35256) (Show Source):
Re-index the summations to start them at zero. Note: this will replace each 'i' with 'i+1' since this offset occurs.
Pull out the first terms of each summation. We're subtracting them off since we're originally starting at i=1 anyway.
Raise each term to the 0th power to get 1.
Reduce
Now recall that the sum "S" for an infinite geometric series is . So this means that...
Replace the summations with the given sum formulas (see above)
Subtract
Multiply by the reciprocal
Multiply
Reduce
Combine like terms.
So
Note: if you add up the pieces of this infinite summation, you'll find that the sums will get closer and closer to 4 (you might have to find more terms).