SOLUTION: Write the next term in the sequence. Then write a rule for the nth term. -5, 10, -15, 20,...

Algebra ->  Sequences-and-series -> SOLUTION: Write the next term in the sequence. Then write a rule for the nth term. -5, 10, -15, 20,...      Log On


   



Question 190402: Write the next term in the sequence. Then write a rule for the nth term.
-5, 10, -15, 20,...

Answer by Edwin McCravy(20065) About Me  (Show Source):
You can put this solution on YOUR website!
Write the next term in the sequence.
Then write a rule for the nth term.
-5, 10, -15, 20, ...

If it weren't for the signs,
we would have the sequence 

5, 10, 15, 20, ...

So let's first get the nth term of that sequence.
The difference between any term and the preceding
term is 5. So the common difference d = 5.  The
nth term of an arithmetic sequence is given by:

a%5Bn%5D+=+a%5B1%5D+%2B+%28n-1%29%2Ad

a%5B1%5D+=+5 and d+=+5

Substituting,

a%5Bn%5D+=+5+%2B+%28n-1%29%2A5 

a%5Bn%5D+=+5+%2B+5%28n-1%29

a%5Bn%5D+=+5+%2B+5n-5

a%5Bn%5D+=+5n

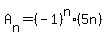
Now we have to tack on a factor that
will cause the signs to alternate:

The alternating sign factors are %28-1%29%5En
and %28-1%29%5E%28n%2B1%29, depending on whether
the first term is negative or positive. Since 
the first term is -5, a negative number, we
use %28-1%29%5En for the alternating sign
factor.  So if we use (capital "A") A%5Bn%5D 
for the nth term, we just multiply the nth term
for a%5Bn%5D (small "a") above by %28-1%29%5En 
and get

A%5Bn%5D+=+%28-1%29%5En%2A%285n%29

Edwin