SOLUTION: For a geometric sequence with {{{r=1.5}}} and {{{S[5]=92.3125}}}. Find {{{S[10]}}}

Algebra ->  Sequences-and-series -> SOLUTION: For a geometric sequence with {{{r=1.5}}} and {{{S[5]=92.3125}}}. Find {{{S[10]}}}      Log On


   



Question 172798: For a geometric sequence with r=1.5 and S%5B5%5D=92.3125. Find S%5B10%5D
Answer by jim_thompson5910(35256) About Me  (Show Source):
You can put this solution on YOUR website!
Note: S%5B5%5D is the 5th partial sum of the geometric sequence. To find the 5th partial sum, we use the value n=4 (since we start at n=0) and use the formula


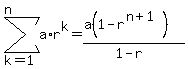
sum%28a%2Ar%5Ek%2Ck=1%2Cn%29=%28a%281-r%5E%28n%2B1%29%29%29%2F%281-r%29


Since we know that S%5B5%5D=92.3125, this means that sum%28a%2A%281.5%29%5En%2Cn=1%2C5%29=92.3125


92.3125=%28a%281-r%5E%28n%2B1%29%29%29%2F%281-r%29 Replace the left side with 92.3125


92.3125=%28a%281-%281.5%29%5E%284%2B1%29%29%29%2F%281-1.5%29 Plug in r=1.5 and n=4


92.3125=%28a%281-%281.5%29%5E%285%29%29%29%2F%28-0.5%29 Combine like terms.


92.3125=%28a%281-7.59375%29%29%2F%28-0.5%29 Raise 1.5 to the 5th power to get 7.59375


92.3125=%28a%28-6.59375%29%29%2F%28-0.5%29 Combine like terms.


92.3125=13.1875a Divide


92.3125%2F13.1875=a Divide both sides by 13.1875 to isolate "a"


7=a Divide


So we find that a=7 (which is the first term)


Now to find S%5B10%5D, we will use n=9


%28a%281-r%5E%28n%2B1%29%29%29%2F%281-r%29 Start with the right side of the formula


%287%281-%281.5%29%5E%289%2B1%29%29%29%2F%281-1.5%29 Plug in a=7, r=1.5, and n=9


%287%281-%281.5%29%5E%2810%29%29%29%2F%28-0.5%29 Combine like terms.


%287%281-57.665%29%29%2F%28-0.5%29 Raise 1.5 to the 10th power to get 57.665 (this is approximate)


%287%28-56.665%29%29%2F%28-0.5%29 Combine like terms.


%28-396.655%29%2F%28-0.5%29 Multiply


793.31 Divide


So the tenth partial sum is approximately 793.31. This means that S%5B10%5D=793.31