SOLUTION: Does anyone know how to Find the inverse of f(x)=x^5 ? Thanks
Algebra
->
Sequences-and-series
-> SOLUTION: Does anyone know how to Find the inverse of f(x)=x^5 ? Thanks
Log On
Algebra: Sequences of numbers, series and how to sum them
Section
Solvers
Solvers
Lessons
Lessons
Answers archive
Answers
Click here to see ALL problems on Sequences-and-series
Question 146996
:
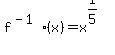
Does anyone know how to Find the inverse of f(x)=x^5 ?
Thanks
Answer by
Fombitz(32388)
(
Show Source
):
You can
put this solution on YOUR website!
To find the inverse of a function, first use x and y as dependent and independent variables.
Now interchange x and y and solve for y.
The answer's a bit cut off but the exponent should be (1/5).