SOLUTION: Evaluate 1 + \frac{i}{3} - \frac{1}{9} - \frac{i}{27} + \frac{1}{81}, where $i$ is the imaginary unit.

Algebra ->  Sequences-and-series -> SOLUTION: Evaluate 1 + \frac{i}{3} - \frac{1}{9} - \frac{i}{27} + \frac{1}{81}, where $i$ is the imaginary unit.       Log On


   



Question 1209783: Evaluate
1 + \frac{i}{3} - \frac{1}{9} - \frac{i}{27} + \frac{1}{81},
where $i$ is the imaginary unit.

Answer by greenestamps(13200) About Me  (Show Source):
You can put this solution on YOUR website!


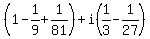
1%2Bi%2F3-1%2F9-i%2F27%2B1%2F81

Combine like terms -- i.e., combine the real terms and combine the imaginary terms.

%281-1%2F9%2B1%2F81%29%2Bi%281%2F3-1%2F27%29
%2881%2F81-9%2F81%2B1%2F81%29%2Bi%289%2F27-1%2F27%29
%2873%2F81%29%2Bi%288%2F27%29

ANSWER: (73/81)+(8/27)i

It is possible that the sequence was supposed to be an infinite sequence instead of a finite one. In that case....

Sum = (first term)/(1-common difference)



ANSWER: (9+3i)/10

Alternatively, we can find the infinite sums of the real and imaginary parts separately.

Real parts: first term 1, common ratio (-1/9)

Sum = 1%2F%281-%28-1%2F9%29%29=1%2F%281%2B1%2F9%29=1%2F%2810%2F9%29=9%2F10

Imaginary parts: first term i/3, common ratio (-1/9)



ANSWER: (9/10)+(3/10)i