SOLUTION: The sum of the first three terms of a geometric sequence is 8 and the sum of the first six terms is 12. Find the common ratio.

Algebra ->  Sequences-and-series -> SOLUTION: The sum of the first three terms of a geometric sequence is 8 and the sum of the first six terms is 12. Find the common ratio.      Log On


   



Question 1205016: The sum of the first three terms of a geometric sequence is 8 and the sum of the first six terms is 12.
Find the common ratio.

Found 4 solutions by mananth, ikleyn, Edwin McCravy, greenestamps:
Answer by mananth(16946) About Me  (Show Source):
You can put this solution on YOUR website!
a+ar+ar^2=8
(a+ar+ar^2)+ar^3+ar^4+ar^5=12
8+ar^3+ar^4+ar^5=12
8+ r^3(a+ar+ar^2)=12
r^3(a+ar+ar^2)=12-8
r^3(8)=4
8r^3=4
r^3= 1/2
r=0.7937









Answer by ikleyn(52794) About Me  (Show Source):
You can put this solution on YOUR website!
.

Dear tutor @mananth

You produce perfect solutions, and I am very glad seeing it (!)

Can you please present them accurately by leaving no more than 4 empty lines after your post.


When you leave 10 - 20 empty lines after your post, it does not look good.

With 4 empty lines after the post, they will look much better.


Thank you (!)


///////////////////


I just posted one such message once before (one week ago) ,
and you did follow this instruction during one week.

This gives me hope. Try again and keep this line as long as you can.

Thanks.


Otherwise, I should follow your posts and make necessary corrections/repairs/fixing
every time, which is tiring me.



Answer by Edwin McCravy(20056) About Me  (Show Source):
You can put this solution on YOUR website!
Thought I'd do it by the sum formula, to see if it's harder or easier.

The sum of the first three terms of a geometric sequence is 8...
 
S%5Bn%5D%22%22=%22%22%28a%5B1%5D%28r%5En-1%29%29%2F%28r-1%29

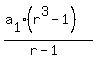
S%5B3%5D%22%22=%22%22%28a%5B1%5D%28r%5E3-1%29%29%2F%28r-1%29

8%22%22=%22%22%28a%5B1%5D%28r%5E3-1%29%29%2F%28r-1%29

and the sum of the first six terms is 12.
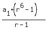
S%5B6%5D%22%22=%22%22%28a%5B1%5D%28r%5E6-1%29%29%2F%28r-1%29

12%22%22=%22%22%28a%5B1%5D%28r%5E6-1%29%29%2F%28r-1%29



system%288%28r-1%29=a%5B1%5D%28r%5E3-1%29%2C%0D%0A12%28r-1%29=a%5B1%5D%28r%5E6-1%29%29

Divide the 2nd equation by the first equation:

12%2F8=%28r%5E6-1%29%2F%28r%5E3-1%29

3%2F2=%28%28r%5E3-1%29%28r%5E3%2B1%29%29%2F%28r%5E3-1%29

3%2F2=%28cross%28%28r%5E3-1%29%29%28r%5E3%2B1%29%29%2Fcross%28r%5E3-1%29

3%2F2=r%5E3%2B1

3=2r%5E3%2B2

1=2r%5E3

1%2F2=r%5E3

root%283%2C1%2F2%29=r

root%283%2Cexpr%281%2F2%29%2Aexpr%282%2F2%29%2Aexpr%282%2F2%29%29=r

root%283%2C4%29%2F2=r

Edwin


Answer by greenestamps(13200) About Me  (Show Source):
You can put this solution on YOUR website!


(Informally....)

The sum of the first 3 terms is 8, and the sum of the first 6 terms is 12.

That means the sum of terms 4, 5, and 6 is 12-8 = 4.

The 4th term is equal to the 1st term multiplied by the common ratio 3 times; similarly for the 5th and 2nd, and for the 6th and 3rd. So the sum of terms 4, 5, and 6 is the sum of terms 1, 2, and 3, multiplied by the common ratio 3 times.

So

%288%29%28r%5E3%29=4
r%5E3=0.5
r=root%283%2C0.5%29

ANSWER (to a few decimal places): 0.7937