SOLUTION: What binomial power does the binomial expansion 1/x^4 + 8/x + 24x^2 + 32x^5 + 16x^8 represent? Indicate the binomial base as well as the exponent. Explain how you figured out your

Algebra ->  Sequences-and-series -> SOLUTION: What binomial power does the binomial expansion 1/x^4 + 8/x + 24x^2 + 32x^5 + 16x^8 represent? Indicate the binomial base as well as the exponent. Explain how you figured out your       Log On


   



Question 1202471: What binomial power does the binomial expansion 1/x^4 + 8/x + 24x^2 + 32x^5 + 16x^8 represent? Indicate the binomial base as well as the exponent. Explain how you figured out your answer.
Found 2 solutions by ikleyn, greenestamps:
Answer by ikleyn(52790) About Me  (Show Source):
You can put this solution on YOUR website!
.
What binomial power does the binomial expansion 1/x^4 + 8/x + 24x^2 + 32x^5 + 16x^8 represent?
Indicate the binomial base as well as the exponent. Explain how you figured out your answer.
~~~~~~~~~~~~~~~~~~~

We have 5 terms ordered according increasing degrees of x.


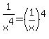
First term  1%2Fx%5E4  is the fourth degree of 1%2Fx.

The last, 5-th term, is the fourth degree of  2x%5E2.

Therefore, it is logical to hypothesize that the given expression 
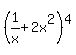
is the binomial expansion of  %281%2Fx+%2B+2x%5E2%29%5E4.


To check this hypothesis, we should make direct FOIL.


If you do it, you will see that all the terms are correct.


ANSWER.  1%2Fx%5E4 + 8%2Fx + 24x%5E2 + 32x%5E5 + 16x%5E8 = %281%2Fx%2B2x%5E2%29%5E4.

Solved, with explanations.



Answer by greenestamps(13200) About Me  (Show Source):
You can put this solution on YOUR website!


The expression has 5 terms, so it is of the form %28A%2BB%29%5E4.

In the expansion of %28A%2BB%29%5E4, the first term is A%5E4 and the last term is B%5E4.

The first term of the expression is 1%2Fx%5E4=%281%2Fx%29%5E4, so the first term of the binomial is 1%2Fx%29.

The last term of the expression is 16x%5E8=%282x%5E2%29%5E4, so the second term of the binomial is 2x%5E2.

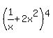
ANSWER: The given expression is %281%2Fx%2B2x%5E2%29%5E4