SOLUTION: Find S17 for the series 8 - 4 + 2 - 1+ ...

Algebra ->  Sequences-and-series -> SOLUTION: Find S17 for the series 8 - 4 + 2 - 1+ ...      Log On


   



Question 1202470: Find S17 for the series 8 - 4 + 2 - 1+ ...
Found 2 solutions by mananth, ikleyn:
Answer by mananth(16946) About Me  (Show Source):
You can put this solution on YOUR website!
Sn=(a1*(1−r^n))/(1−r)

a1=8
r=-1/2
S17 = ?
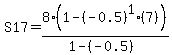
S17+=+8%2A%281-%28-0.5%29%5E1%287%29%29%2F%281-%28-0.5%29%29
S17 =5.3333

Answer by ikleyn(52788) About Me  (Show Source):
You can put this solution on YOUR website!
.


        The formula and the final answer/value in the post by @mananth are incorrect.
        I came to bring a correct solution/answer.


S%5Bn%5D = a%2A%28%281-r%5En%29%2F%281-r%29%29


a = 8

r = -1/2

S%5B17%5D = 8%2A%281-%28-0.5%29%5E17%29%29%2F%281-%28-0.5%29%29

S17 = 5.3333740234375  (exact value).

Solved (correctly).